Taiwan PU Corporation
About US
Applications
Building and Infrastructure
Electronics
Renewal Energy
Sport
Shoe Industry
Cable and Hose
Printing
Package
Mining
Mechanics
Automobile
Textile
Products
Casting CPU
Hot Cast PU
Printing Roller Material
Curing Agent for Prepolymer
PU Encapsulating Material
Doming Resin
Fast Drying Polyurethane Coating
Cold Cast PU
PU Mold Rubber
Polyurethane Shoe Mold System
Millable Polyurethane Rubber
TPU Granules
Injection Molding TPU Granule
Extrusion Thermoplastic Polyurethane
Calendering Thermoplastic Polyurethane Material
Blow Molding Thermoplastic Polyurethane Material
PU Adhesives and Hot-Melt
Shoe Adhesive
Hot Melt TPU
Reactive Hot Melt PU Adhesive
Water-Based PU Adhesive (Similar to U54 System)
Waterborne Polyurethane Adhesive
Polyurethane Dispersion for Textile
Hardener
Phenolic Resin
TPU Material for Ink
PU Binder
PU Ink Binder for Gravure Printing
Water-based PU Flexo & Gravure Ink Binder
Water-resistant Wood Adhesive
PU Resin for Textile Waterproof Coating
Water-based Screen-printing Paste
Gravel Binder
Tube and Hose
PU Coiled Hose
PU Tube
Braided Tube
High Pressure Hose
PTFE Tube
Automatic Air Hose Reel
Nylon Tube
PE Tube
Silicone Tube
Anti Spark Tube
PU Beltings
PU Belt
PU Round Belt
PU V Belt
PU Super Grip Belt
PU Top Ridge Belt
Polyurethane Drive Belts
Hollow Belt
Quick Connect Twisted belts
PU Moulded Products
PU Rod
PU Pipe
PU Sheet
PU Disc
PU Spider
Polyurethane Squeegee
PU Forklift Wheel
PU O-Ring
Wire Guide Roller
PU V Pulley
Piston for Concrete Pump
PU Film
PU Leather
PU Knowledge
Contact
Youtube
Skype
shopping cart
0
English
繁體中文
簡體中文
Sub Menu
Product
Casting CPU
Hot Cast PU
Printing Roller Material
Curing Agent for Prepolymer
PU Encapsulating Material
Doming Resin
Fast Drying Polyurethane Coating
Cold Cast PU
PU Mold Rubber
Polyurethane Shoe Mold System
Millable Polyurethane Rubber
TPU Granules
PU Adhesives and Hot-Melt
Tube and Hose
PU Beltings
PU Moulded Products
Product
Casting CPU
Curing Agent for Prepolymer
Product Details
MOCA
Key features:
- Appearance: light yellow pellet
- Stable physical property
- High purity
- Easily melt
Add to inquiry cart
Processing, please wait...
Product Introduction
Application
PU coatings, architectural coatings, sports materials, epoxy insulation material, waterproof wall and waterproof roofing materials. Printing rollers, rollers, trolley wheels and molds of PU elastomers.
Introduction
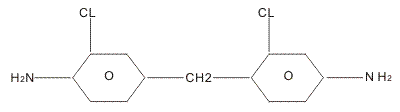
MOCA
is used as PU (Polyurethane Resin) curing agent. The chlorine atoms on benzene ring can slow down the activity of "NH2" group, so as to extend the pot life while casting.
Structural Formula
Physical Properties of MOCA Curative
Molecular Weight
267.16
Equivalent Weight g/ml
133.575
Appearance
light yellow granule (100% through 1/2 mesh serene)
Odor
Slight
Amine
7.4-7.6(mmol/g)
Specific gravity (24℃)
1.44
Specific gravity (107℃)
1.26
Melting point range
110-120℃
Storage stability
Slightly hygroscopic
Solubility
Soluble in MEK, DNF, Toluene Acetone, Ethanol, Insoluble in water
Usage
curing agent for polyurethane and epoxy
Package
25kg or 50kg per fiber drum
Toxicity
The oral LD90 is 5,000 mg/kg
Usage
1. What is the Urethane Elastomer?
(1) Definition :
Polyurethane elastomer is flexible, and posse's elasticity nature likes rubber. The following is molecular structure.
R
1
-NCO+R
2-
OH→R
1
NHCOOR
2
(2) Polyurethane characteristics :
It is good for :
1. Abrasion resistance
2. Elasticity no matter with high or low hardness
3. Tensile strength, tear strength, compression strength
4. Chemical, oil ozone and cold resistance
5. Impact resistance
6. Absorption of vibration
7. Workability and so on
This is Cross linking and good curing agent for PU elasticity. The finished products as following:
1. Caster: PU Caster and Wheels
2. Seals: PU Hydraulic Seals and Packages
3. Spring: PU Rod , Sheet , Bar and Film
4. Blade: PU Drum Blade for Copier and Laser Printer
5. Roller: All Kinds of PU Rollers
6. Parts: PU Flexible Coupling and Parts
Also we can recommend and introduce the supply of prepolymer and finished products for your asking only.
2.Manufacturing Process for Molding Compounds
Notice: These values are based on the test of our present laboratory test specimens.
Taiwan PU Corporation is a professional MOCA manufacturer, MOCA producer. We supply high quality MOCA products, have an experienced technical team and offer the best price to MOCA.
MOCA is called
pellet MOCA, MOCA pellet,
solid MOCA, granular MOCA, MOCA granule, curative for PU elastomer, curative for polyurethane elastomer, curative to epoxy, curative for elastomer, MBCA, MBOCA, curing agent for polyurethane system, curing agent for epoxy, curing agent for elastomer, hot casting curing agent, hot casting curative, curing agent for prepolymer, curing agent for PU prepolymer, curing agent for polyurethane prepolymer. If MOCA is needed, please contact us.
Related Products
DMTDA E300
Original price:$
Price:$
Back
Cart
0
Login
Notes
TOP